• Предмет: Алгебра
  • Автор: maslovae420
  • Вопрос задан 9 лет назад

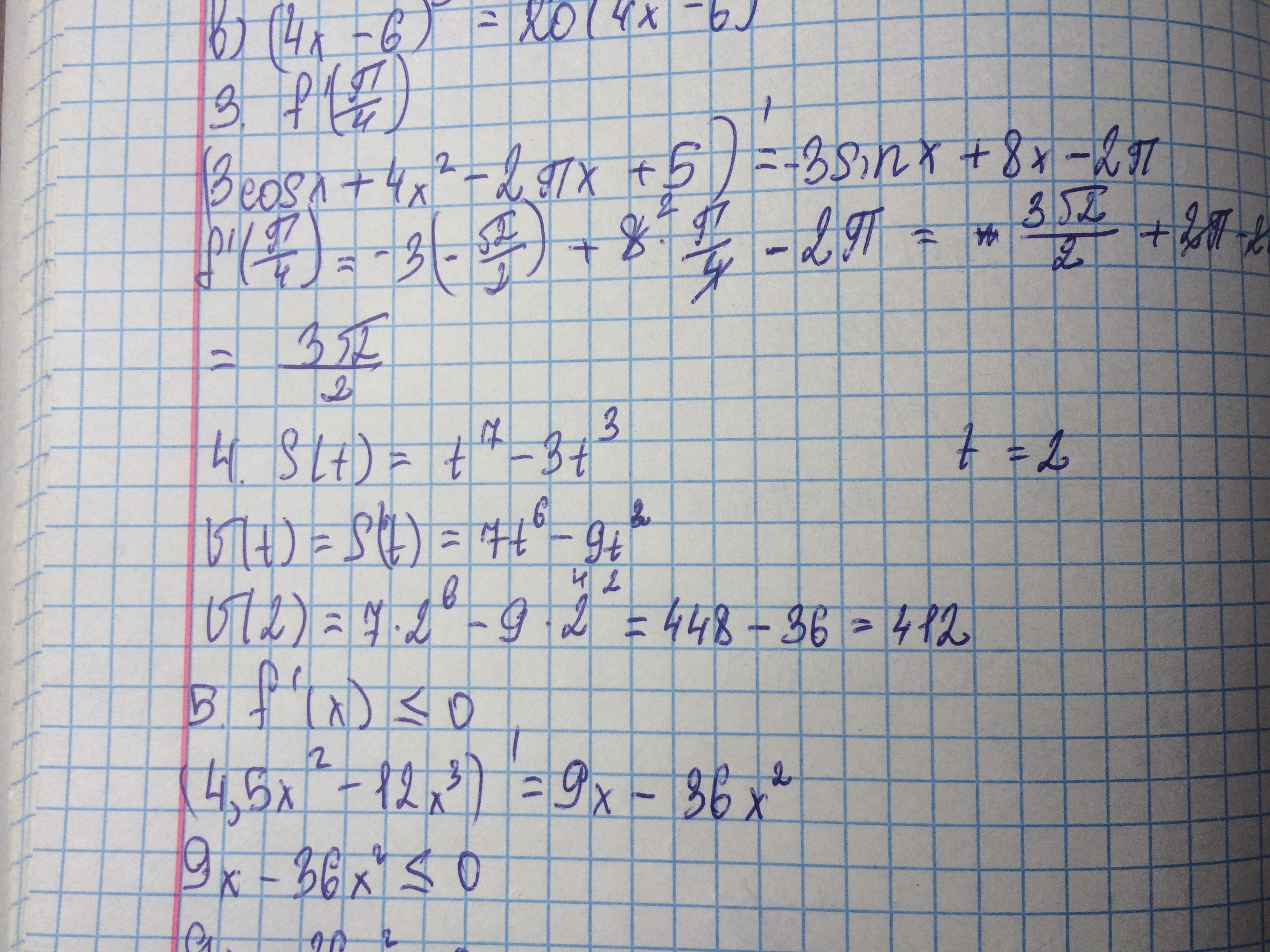
4. Прямолинейное движение точки описывается законом t^7−3t^3. Найдите ее скорость в момент времени t=2c.

5. Найдите все значения x, при которых выполняется неравенство f′(x)≤0, если f(x)=4,5x^2−12x^3.

6. Найдите все значения x, при которых выполняет равенство f′(x)=0, если f(x)=sin(2x)+√2x, xϵ[π;5π].

Ответы

Ответ дал: SeaConfident14
0
Может, и правильно:)
Приложения:
Вас заинтересует