• Предмет: Математика
  • Автор: РегинаТопская1
  • Вопрос задан 9 лет назад

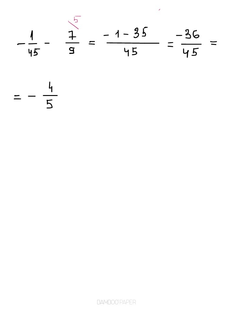
-1/45 - 7/9
Ответ в правильной дроби

Ответы

Ответ дал: KseniaHarlequin
0
Решение данного задания

Приложения:
Вас заинтересует