• Предмет: Алгебра
  • Автор: Yar1kkkkKKK
  • Вопрос задан 9 лет назад

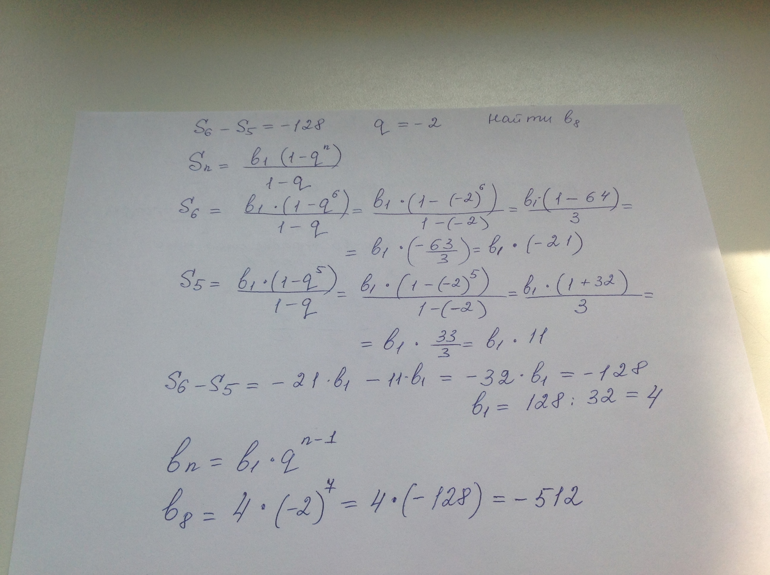
в геометрической прогрессии s6-s5=-128 и q=-2.Найдите b8

Ответы

Ответ дал: ВладимирБ
0
Решение смотри на фото
Приложения:
Вас заинтересует