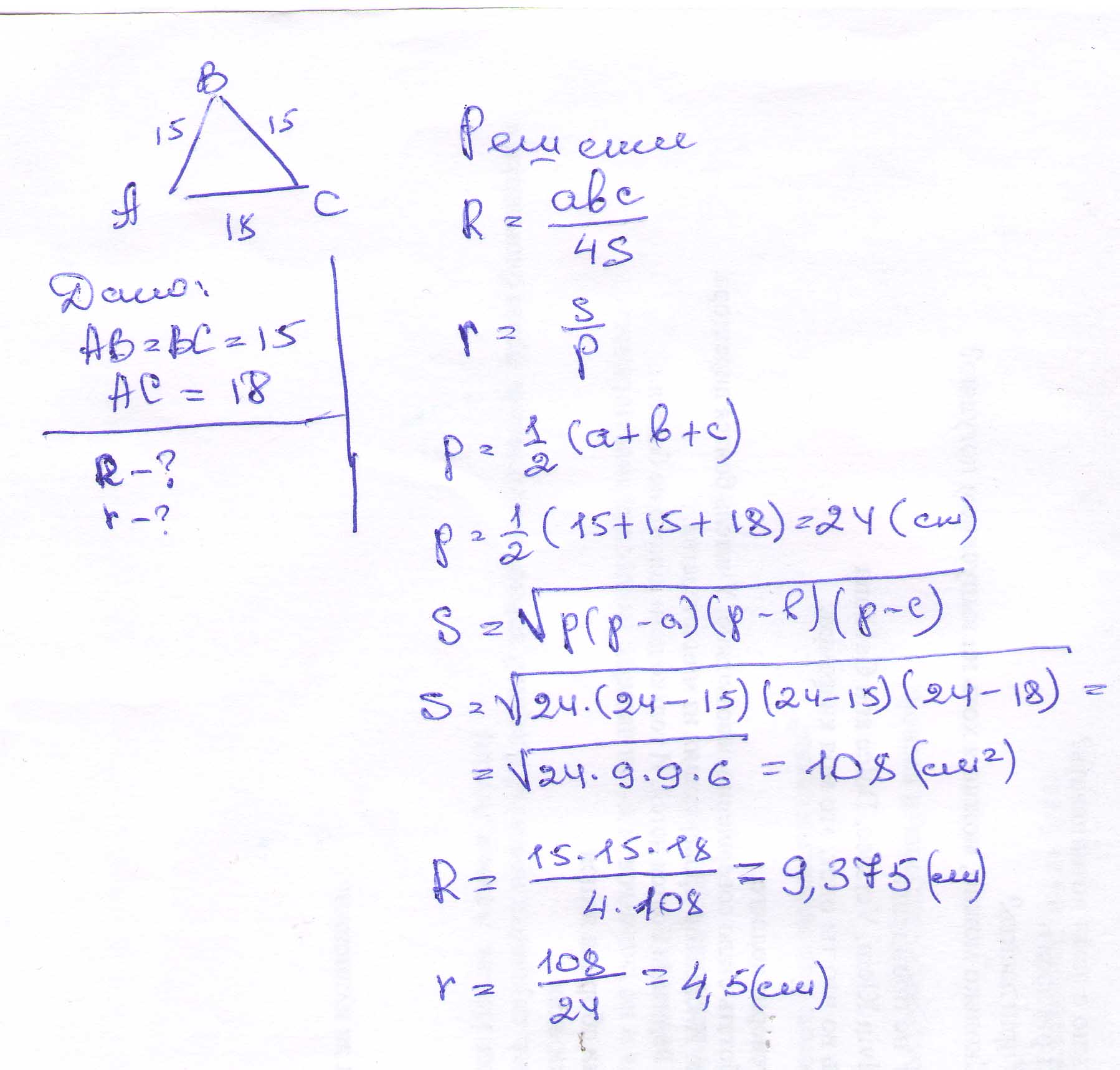
основание равнобедренного треугольника равна 18 см , а боковая сторона равна 15 см . Найдите радиусы вписанной и описанной около треугольника окружностей
Ответы
Ответ дал:
0
R = 9,375 см (радиус описанной окружности), r = 4,5 см (радиус вписанной окружности).
На чертеже только дорисуй эти окружности.
Приложения:

Вас заинтересует
2 года назад
2 года назад
8 лет назад
10 лет назад
10 лет назад
10 лет назад