• Предмет: Алгебра
  • Автор: AliceandCat
  • Вопрос задан 9 лет назад

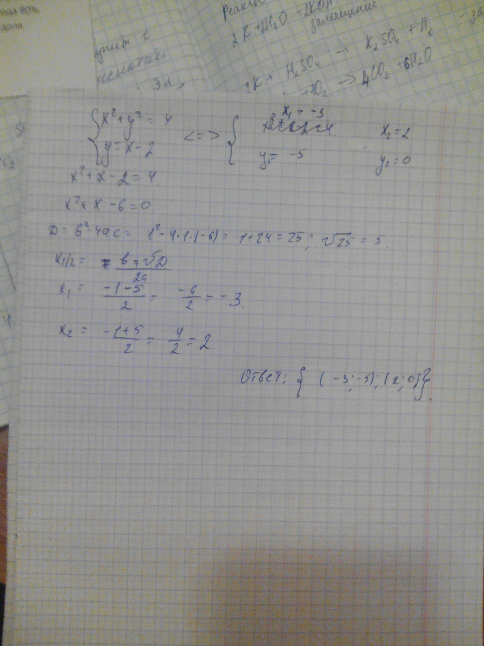
Люди ,очень нужна ваша помощь!!!! Помогите пожалуйста решить 2 и 3 задание на фото ( системы уравнений )!!! Буду благодарна :)

Приложения:

Ответы

Ответ дал: БрЮнЕтОчКа199
0
Решила только 2 ,смотри вложение Вот 3 задание под а)
Приложения:
Вас заинтересует