• Предмет: Математика
  • Автор: deezlok
  • Вопрос задан 9 лет назад

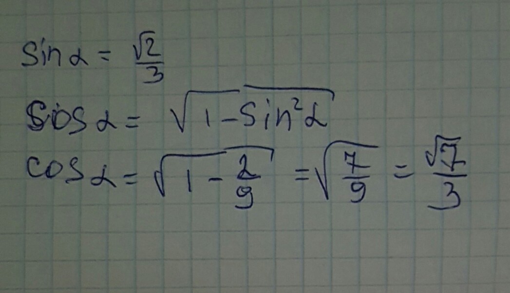
Найти cos если sin α корень 2 делённое 3

Ответы

Ответ дал: подкожного
0
решение задания смотри на фотографии
Приложения:
Вас заинтересует