Ответы
Ответ дал:
0
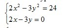
способом подстановки. где без квадрата находишь какое либо число, например: 2х=3у (это первая система у тебя) потом его подставляешь во второй пример
Ответ дал:
0
Вот,держи))Если не понятно,то спрашивай
Приложения:

Вас заинтересует
2 года назад
7 лет назад
7 лет назад
10 лет назад
10 лет назад