Ответы
Ответ дал:
0
Смотрите решение в прикреплённом файле.
Приложения:

Ответ дал:
0
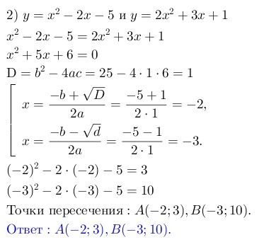
Вот. Попыталась решить
Приложения:

Вас заинтересует
2 года назад
2 года назад
7 лет назад
7 лет назад
9 лет назад
9 лет назад
10 лет назад
10 лет назад