• Предмет: Алгебра
  • Автор: ksyushalyubimo
  • Вопрос задан 9 лет назад

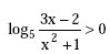
Помогите пожалуйста!

Приложения:

Ответы

Ответ дал: Kixcertborn2
0
ответ ответ ответ ответ ответ ответ ответ ответ ответ ответ ответ
Приложения:
Ответ дал: Kixcertborn2
0
Вычисляется отдельно
Вас заинтересует