• Предмет: Геометрия
  • Автор: Frad21
  • Вопрос задан 9 лет назад

1.Помогите срочно
В прямоугольном треугольнике косинус угла А равен 1/2 катет АС равен 6. найдите гипотенузу АВ
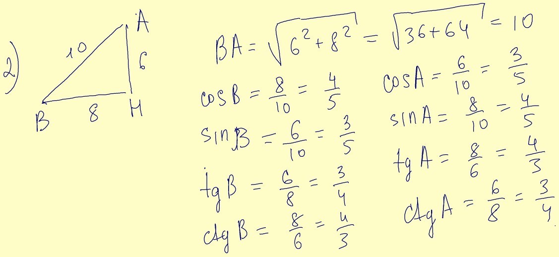
2.Помогите по геометрии
в прямоугольном треугольнике катеты ВН и АН равны соответственно 8 и 6 см.
Найдите косинус ,синус ,тангенс

Ответы

Ответ дал: almaznak
0
ыфпавпрыварпыварыаврыварыврвы
Приложения:
Вас заинтересует