• Предмет: Математика
  • Автор: Аноним
  • Вопрос задан 9 лет назад

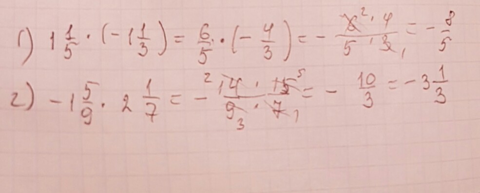
Номер 77.
Ребят срочно

Приложения:

Ответы

Ответ дал: подкожного
0
решение задания смотри на фотографии
Приложения:
Вас заинтересует