Помогите решить:
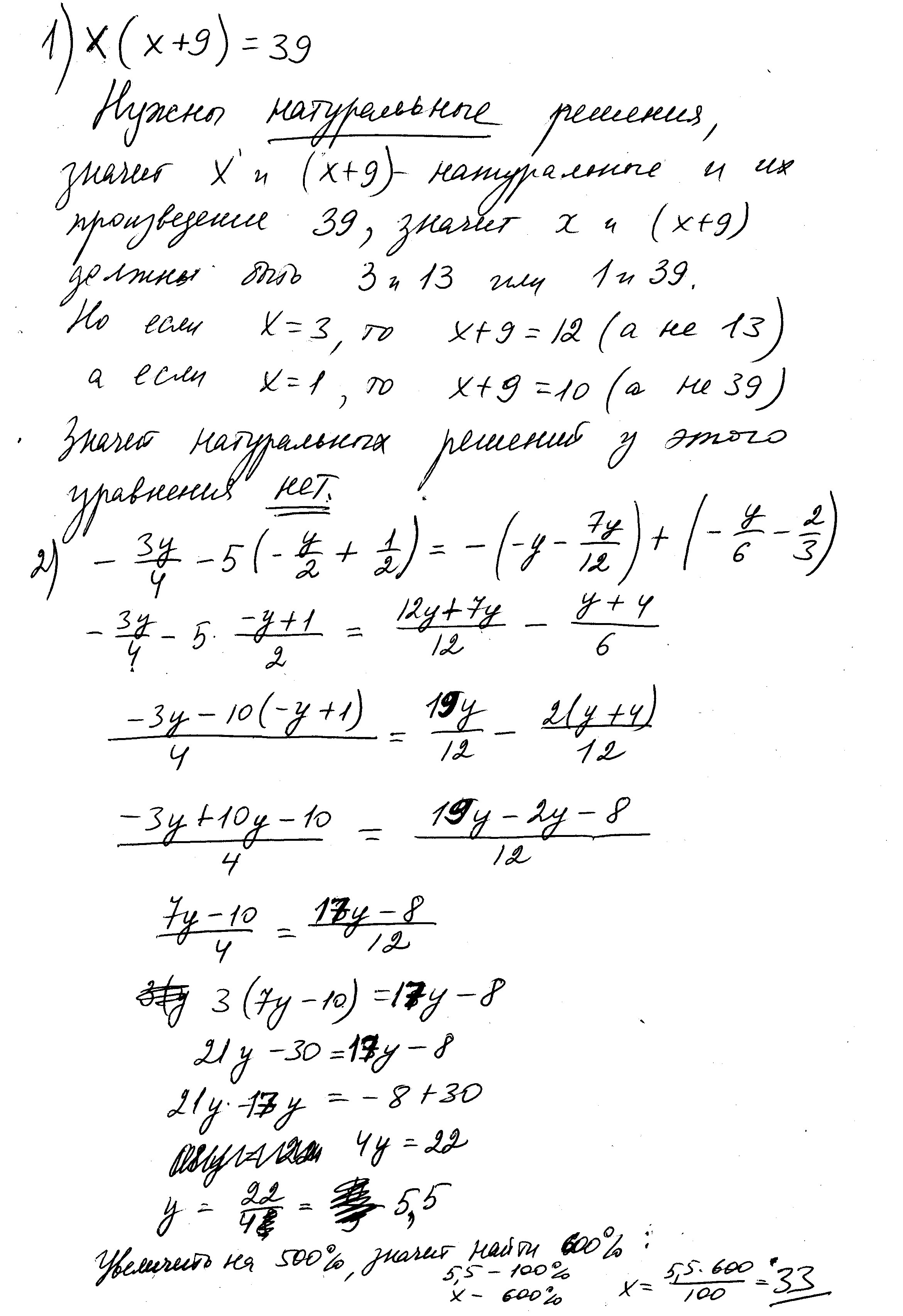
Найди множество натуральных корней уравнения методом проб и ошибок: х(х+9)=39
и ещё 1 номер пожалуйста:
Найди число у и увелич его на 500%:
-3у/4-5(-у/2+1/2)=-(-у-7у/12)+(-у/6-2/3)
помогите пожалуйста, заранее извините за то что та много!
Помогите мне очень срочно надо!
Ответы
Ответ дал:
0
решение во вложенном файле
Приложения:

Ответ дал:
0
спасибо
Вас заинтересует
2 года назад
2 года назад
7 лет назад
7 лет назад
9 лет назад
9 лет назад
10 лет назад
10 лет назад