• Предмет: Алгебра
  • Автор: uliabogdan797
  • Вопрос задан 9 лет назад

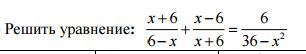
30 баллов! Нужно подробное решение уравнения!!

Приложения:

Ответы

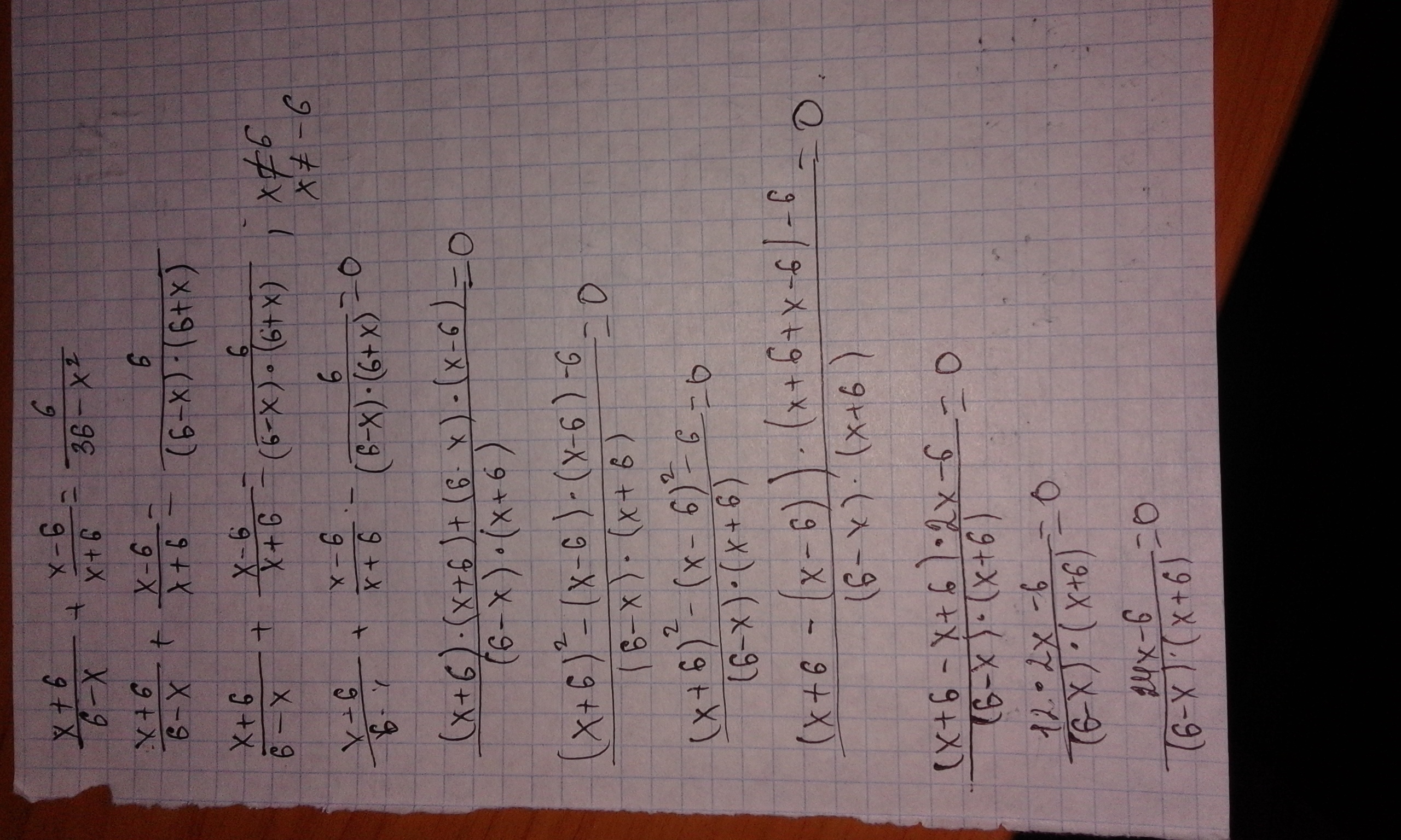
Ответ дал: bakoo1
0
Дальше-
24X-6=0
24X=6
X=6/24
X=1/4;
x=0,25
Приложения:
Ответ дал: uliabogdan797
0
Спасибо. Помогли найти мне мою ошибку!
Вас заинтересует