Ответы
Ответ дал:
0
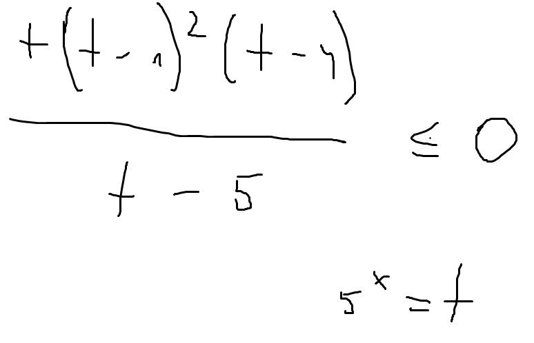
Методом интервалов надо решать. Посчитать знаки в интервалах и выбрать те, где будет знак (-).
![frac{(t-1)^2(t-4)}{t-5} leq 0\\(t-1)^2 geq 0; ; pri; ; xin R; ; Rightarrow; ; ; frac{t-4}{t-5} leq 0; ; i; ; t-1=0\\+++[, 1, ]+++[, 4, ]---(5)+++\\tin {1}cup [, 4,5) frac{(t-1)^2(t-4)}{t-5} leq 0\\(t-1)^2 geq 0; ; pri; ; xin R; ; Rightarrow; ; ; frac{t-4}{t-5} leq 0; ; i; ; t-1=0\\+++[, 1, ]+++[, 4, ]---(5)+++\\tin {1}cup [, 4,5)](https://tex.z-dn.net/?f=+frac%7B%28t-1%29%5E2%28t-4%29%7D%7Bt-5%7D++leq+0%5C%5C%28t-1%29%5E2+geq+0%3B+%3B+pri%3B+%3B+xin+R%3B+%3B+Rightarrow%3B+%3B+%3B++frac%7Bt-4%7D%7Bt-5%7D++leq+0%3B+%3B+i%3B+%3B+t-1%3D0%5C%5C%2B%2B%2B%5B%2C+1%2C+%5D%2B%2B%2B%5B%2C+4%2C+%5D---%285%29%2B%2B%2B%5C%5Ctin+%7B1%7Dcup+%5B%2C+4%2C5%29)
![b)qquad frac{t(t-1)^2(t-4)}{t-5} leq 0\\---[, 0, ]+++[, 4, ]---(5)+++\\xin (-infty ,0, ]cup {1}cup [, 4,5) b)qquad frac{t(t-1)^2(t-4)}{t-5} leq 0\\---[, 0, ]+++[, 4, ]---(5)+++\\xin (-infty ,0, ]cup {1}cup [, 4,5)](https://tex.z-dn.net/?f=+b%29qquad+frac%7Bt%28t-1%29%5E2%28t-4%29%7D%7Bt-5%7D++leq+0%5C%5C---%5B%2C+0%2C+%5D%2B%2B%2B%5B%2C+4%2C+%5D---%285%29%2B%2B%2B%5C%5Cxin+%28-infty+%2C0%2C+%5Dcup+%7B1%7Dcup+%5B%2C+4%2C5%29)
Вас заинтересует
2 года назад
2 года назад
7 лет назад
7 лет назад
10 лет назад
10 лет назад