• Предмет: Алгебра
  • Автор: Yakuobu
  • Вопрос задан 11 лет назад

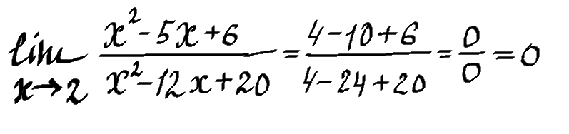
Вычислить предел:

 

lim_{x to 2}frac{x^2-5x+6}{x^2-12x+20}

Ответы

Ответ дал: Аноним
0

СМ. ВЛОЖЕНИЕ

================================================

Приложения:
Вас заинтересует