• Предмет: Алгебра
  • Автор: mirs6767
  • Вопрос задан 9 лет назад

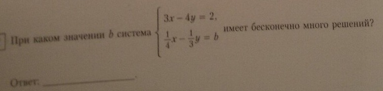
Решите пожалуйста срочно!! Легкая задачка!

Приложения:

Ответы

Ответ дал: Dимасuk
0
Решение.......................
Приложения:
Ответ дал: mirs6767
0
спасибо большое
Вас заинтересует