• Предмет: Алгебра
  • Автор: увссу
  • Вопрос задан 9 лет назад

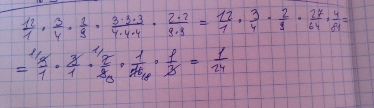
запишите одночлен в стандартном виде найдите его числовое значение
AB * 12 * A в кубе * B в квадрате
при a= 3/4
при b= 2/9

Ответы

Ответ дал: Аноним
0
12* frac{3}{4} * frac{2}{9} * (frac{3}{4})^3 * (frac{2}{9})^2=

решение на фото..
Приложения:
Ответ дал: Аноним
0
вот вторая фотка
Ответ дал: увссу
0
спасиб)
Вас заинтересует