решить уравнения: в числителе 6 в знаменателе 4х^2-1 плюс в числителе 3 в знаменателе 2х+1 равно в числителе 2 в знаменателе 2х-1 плюс 1.(подробнее)
Ответы
Ответ дал:
0
...............................................
Приложения:
Ответ дал:
0
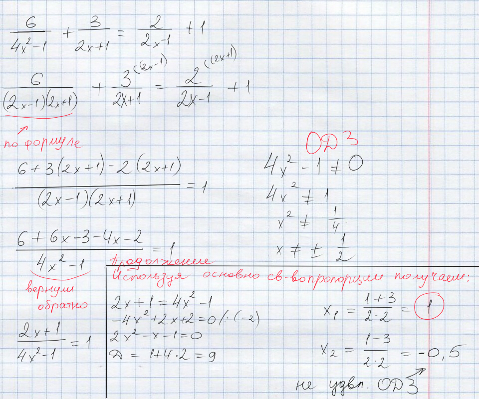
6/(4x^2-1)+3/(2x+1)=2/(2x-1)+1
Приведём к общему знаменателю:
4x^2-1
Теперь:
4х^2-1≠0
4х^2≠1
х^2≠1/4
х≠±1/2
Итого:
6+3*(2х–1)=2*(2х+1)+4х^2-1
6+6х-3=4х+2+4х^2-1
–4х^2+2х+2=0. |:(-2)
2х^2-х-1=0
Дискрим.:
=1-4*2*(-1)=9 sqrt9=3
x(1)=(1+3)/(2*2)=1
x(2)=(1-3)/(2*2)=-1/2
Но корень 2 протеворечит нашему условию (вычисляли выше) так что корень 1 и он равен 1
Приведём к общему знаменателю:
4x^2-1
Теперь:
4х^2-1≠0
4х^2≠1
х^2≠1/4
х≠±1/2
Итого:
6+3*(2х–1)=2*(2х+1)+4х^2-1
6+6х-3=4х+2+4х^2-1
–4х^2+2х+2=0. |:(-2)
2х^2-х-1=0
Дискрим.:
=1-4*2*(-1)=9 sqrt9=3
x(1)=(1+3)/(2*2)=1
x(2)=(1-3)/(2*2)=-1/2
Но корень 2 протеворечит нашему условию (вычисляли выше) так что корень 1 и он равен 1
Приложения:
Вас заинтересует
3 года назад
8 лет назад
8 лет назад
11 лет назад
11 лет назад
11 лет назад
11 лет назад