• Предмет: Математика
  • Автор: днбил
  • Вопрос задан 9 лет назад

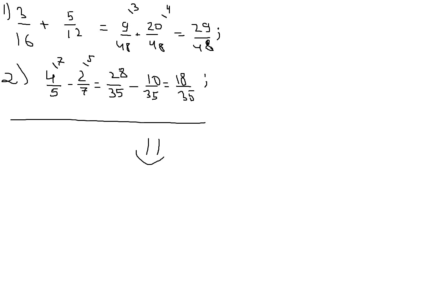
316+512 45-27
1-12/27
вычислите

Ответы

Ответ дал: Маkсик
0
Вычисления на картинке:
Приложения:
Ответ дал: anna1482
0
1)3/16+5/12=9/48+20/48=9+20/48=29/48
2)4/5-2/7=28/35-10/35=28-10/35=18/35
Приложения:
Вас заинтересует