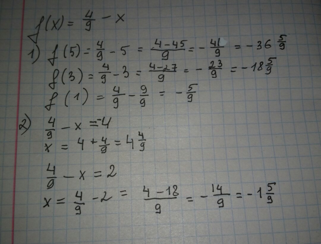
задана функция эф икс равно 4 девятых минус икс 1) Найдите значения функции эф 5 эф3 эф 1 2) найдите значения икс, при которых эф иксравен -4 эф икс равен 2
Ответы
Ответ дал:
0
Если я всё правильно поняла, то должно быть как-то так:
Приложения:

Вас заинтересует
2 года назад
2 года назад
7 лет назад
7 лет назад
9 лет назад
9 лет назад
10 лет назад