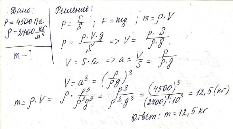
На горизонтальном столе лежит сплошной алюминиевый куб. Какова масса этого куба, если он оказывает на стол давление 3,6 кПа? Ответ выразить в кгкг, округлив до десятых. Плотность алюминия составляет 2700 кг/м3. Ускорение свободного падения принять равным 10 Н/кг.
Ответы
Ответ дал:
0
Вот решение. Простая задача. Не за что)
Приложения:

Вас заинтересует
2 года назад
2 года назад
9 лет назад
9 лет назад
10 лет назад