Ребята, пожалуйста помогите решить задания, очень нужно хоть сколько-нибудь в понедельник выпускной экзамен, а голова уже не варит!!!! СПАСИБО заранее. (в приложении)

Ответы
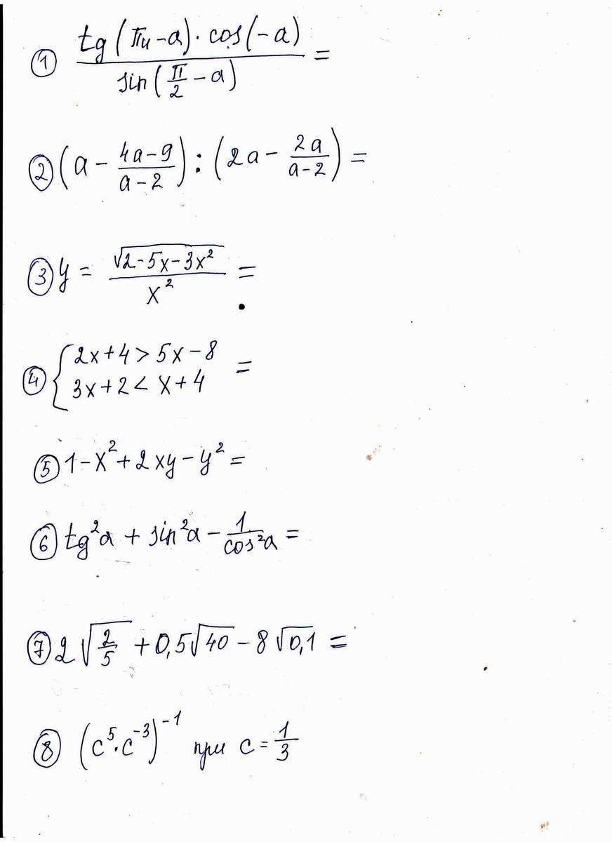
№2
1)a - 4a-9=a(a-2)-4a-9= a^2-2a-4a-9= a^2-6a-9= ( a-3)^2,
a-2 a-2 a-2 a-2 a-2
2)2a- 2a = 2a(a-2) -2a= 2a^2-4a-2a =2a^2-6a= 2a(a-3)
a-2 a-2 a-2 a-2 a-2
3) ( a-3)^2 / 2a(a-3)= (a-3)^2 * a-2 = (a-3) .
a-2 a-2 a-2 2a(a-3) 2a
№7
2 √0.4+0.5√40-8√0.1=2√4*0.1+0.5√400*0.1-8√0.1=2*2√0.1+0.5*20√0.1-8√0.1=4√0.1+10√0.1-8√0.1=6√0.1
№8
(c^5*c^-3)^-1=(c^2)^-1=c^-2= 1 ^2=3^2=9
c