Ответы
Ответ дал:
0
а. (-15,64 : 4 3/5+7,1)*2 2/5=8,88
1) -15,64 : 4 3/5= - 15,64:4,6= - 3,4
2) -3,4+7,1=3,7
3) 3,7 * 2 2/5=3,7*2,4=8,88
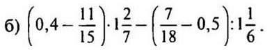
б. (0,4-11/15) *1 2/7 - (7/18 -0,5): 1 1/6= -1/3
1) 0,4 - 11/15=2/5 - 11/15=6/15 -11/15= - 5/15= - 1/3
2) -1/3 * 1 2/7= - 1/3 * 9/7= - 3/7
3)) 7/18 -0,5=7/18 -1/2=7/18 - 9/18= - 2/18= - 1/9
4) -1/9 : 1 1/6= - 1/9 * 6/7= - 2/21
5) - 3/7 - (-2/21)= - 9/21+2/21= - 7/21= - 1/3
1) -15,64 : 4 3/5= - 15,64:4,6= - 3,4
2) -3,4+7,1=3,7
3) 3,7 * 2 2/5=3,7*2,4=8,88
б. (0,4-11/15) *1 2/7 - (7/18 -0,5): 1 1/6= -1/3
1) 0,4 - 11/15=2/5 - 11/15=6/15 -11/15= - 5/15= - 1/3
2) -1/3 * 1 2/7= - 1/3 * 9/7= - 3/7
3)) 7/18 -0,5=7/18 -1/2=7/18 - 9/18= - 2/18= - 1/9
4) -1/9 : 1 1/6= - 1/9 * 6/7= - 2/21
5) - 3/7 - (-2/21)= - 9/21+2/21= - 7/21= - 1/3
Вас заинтересует
3 года назад
7 лет назад
7 лет назад
10 лет назад
10 лет назад
10 лет назад