• Предмет: Алгебра
  • Автор: Милена3001
  • Вопрос задан 9 лет назад

Помогите с четвертым плизз!!дам 25 баллов

Приложения:

Ответы

Ответ дал: подкожного
0
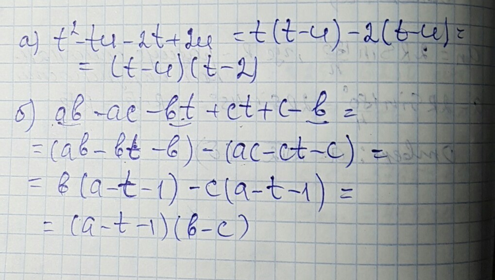
решение задания смотри на фотографии
Приложения:
Ответ дал: Аноним
0
1. t²-tu-2t+2u=t(t-u)-2(t-u)=(t-u)(t-2)
2. ab-ac-bt+ct+c-b=a(b-c)-t(b-c)-(b-c)=(b-c)(a-t-1)
Приложения:
Вас заинтересует