• Предмет: Алгебра
  • Автор: NadyaAndDima
  • Вопрос задан 9 лет назад

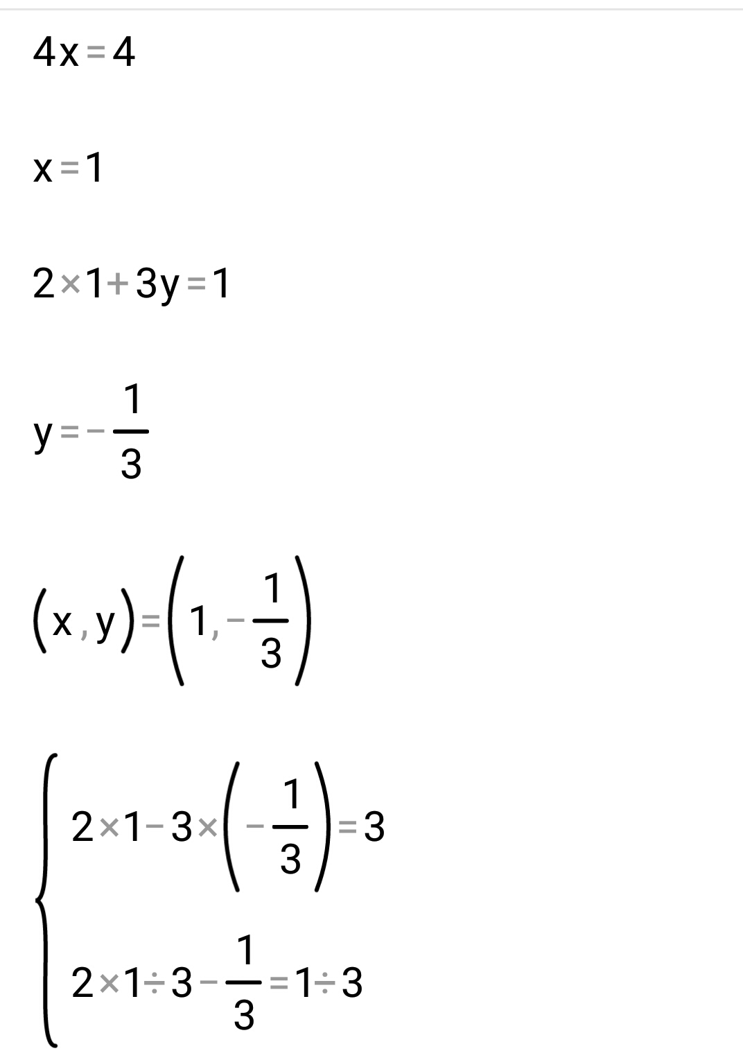
решите систему уравнения 2х-3у=3 и 2х/3+у=1/3

Ответы

Ответ дал: DariaLiberty17
0
Держи решение системы.
Приложения:
Вас заинтересует