• Предмет: Алгебра
  • Автор: ElenaLen
  • Вопрос задан 11 лет назад

Ребята, очень прошу! Помогите, пожалуйста, с решением системы.
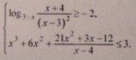
Задание в прикреплённом файле (основание у log в первом нер-ве: 3-x)

Приложения:

Ответы

Ответ дал: LFP
0

ОДЗ: 3-х > 0 => x < 3

3-x не равен 1 => x не равен 2

(x+4)/(x-3)^2 > 0 => x > -4

 x не равен 4

ОДЗ: (-4; 2) U (2; 3)

log(3-x)((x+4)/(x-3)^2) + 2log(3-x)(3-x) >= 0

log(3-x)((x+4)*(3-x)^2 / (x-3)^2) >= 0 ((3-x)^2 === (x-3)^2)

log(3-x)((x+4)) >= 0

1))) если 0 < 3-x < 1, то логарифм монотонно убывает и он > 0 когда аргумент от 0 до 1

0 < x+4 <= 1

----------------

-3 < -x < -2

-4 < x <= -3

---------------

3 > x > 2

-4 < x <= -3 ---нет решений системы...

2)))  если 3-x > 1, то логарифм монотонно возрастает и он > 0 когда аргумент > 1

x+4 >= 1

---------------

-x > -2

x >= -3

--------------

x < 2

x >= -3 ---решение [-3; 2)

((x^3+6x^2)(x-4) + 21x^2+3x-12 - 3(x-4)) / (x-4) <= 0

(x^4+6x^3-4x^3-24x^2 + 21x^2+3x-12 - 3x+12) / (x-4) <= 0

(x^4 + 2x^3 - 3x^2) / (x-4) <= 0

x^2 * (x^2 + 2x - 3) / (x-4) <= 0 по т.Виета корни кв.трехчлена -3 и 1

x^2 * (x + 3)(x - 1) / (x-4) <= 0
метод интервалов ---решение (-бесконечности; -3] U [1; 4)

Ответ: [-3; 2) U [1; 3)

(... надеюсь, нигде не ошиблась...)

 

Вас заинтересует