• Предмет: Алгебра
  • Автор: YanaMiller84
  • Вопрос задан 9 лет назад

Помогите решить неравенство, то, что внизу

Приложения:

Ответы

Ответ дал: Denik777
0
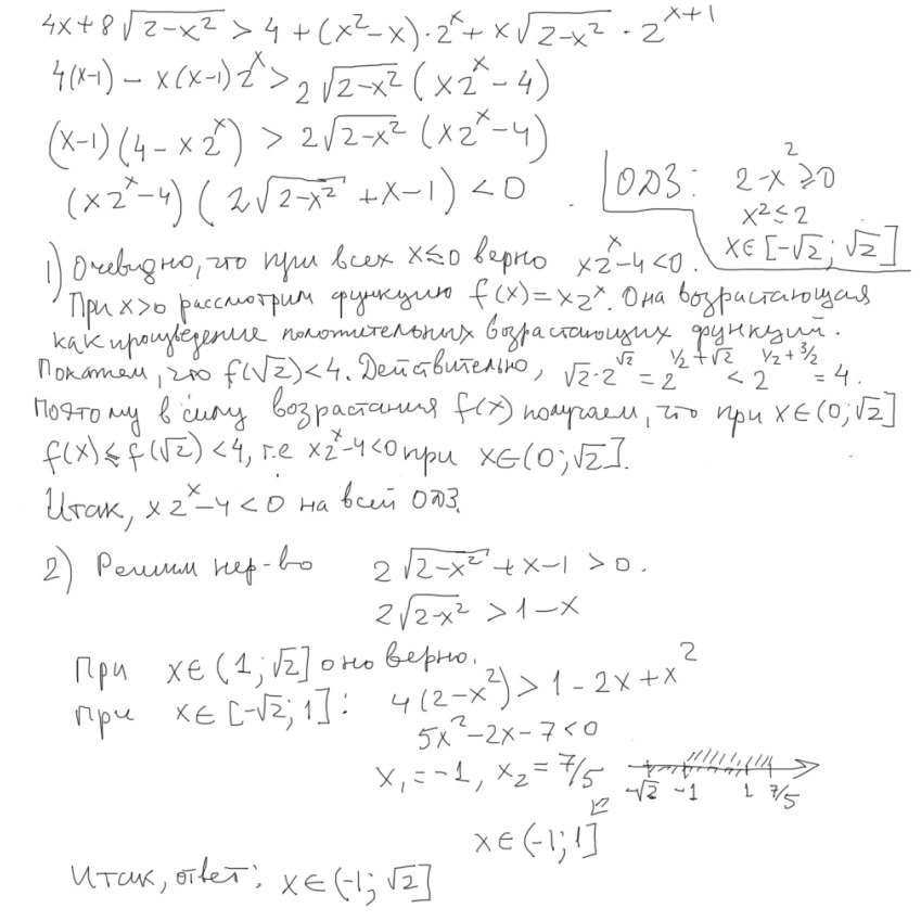
Решение прицеплено в картинке.
Приложения:
Ответ дал: amin07am
0
Для уравнения Х*2^х-4=0 ,х=2 корень?
Ответ дал: amin07am
0
2*2^2-4=4 вроде.
Ответ дал: Denik777
0
исправил
Ответ дал: amin07am
0
Спасибо, красивое решения!
Вас заинтересует