• Предмет: Алгебра
  • Автор: TimeIce38
  • Вопрос задан 11 лет назад

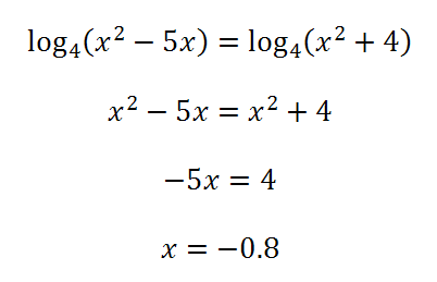
log по основанию 4(x^-5x)=log по основанию 4 (x^+4)

Ответы

Ответ дал: AlbuRin
0

!!!!!!!!!!!!!!!!!!!!!!!!!!!!!!!!!!!!!!!!!!!!!!!!!!!!!!!!!!!!!!!!!!!!!!!!!!!!

Приложения:
Ответ дал: Darksider
0

 x^2-5x=x^2+4; log_{4} (x^2-5x) = log_{4}(x^2+4);

 x^2-5x=x^2+4; -5x=4; x=-0.8

Ответ: - 0,8

Приложения:
Вас заинтересует