• Предмет: Алгебра
  • Автор: qw123452018
  • Вопрос задан 9 лет назад

Помогите пожалуйста с 3в , 4 и 5 заданием

Приложения:

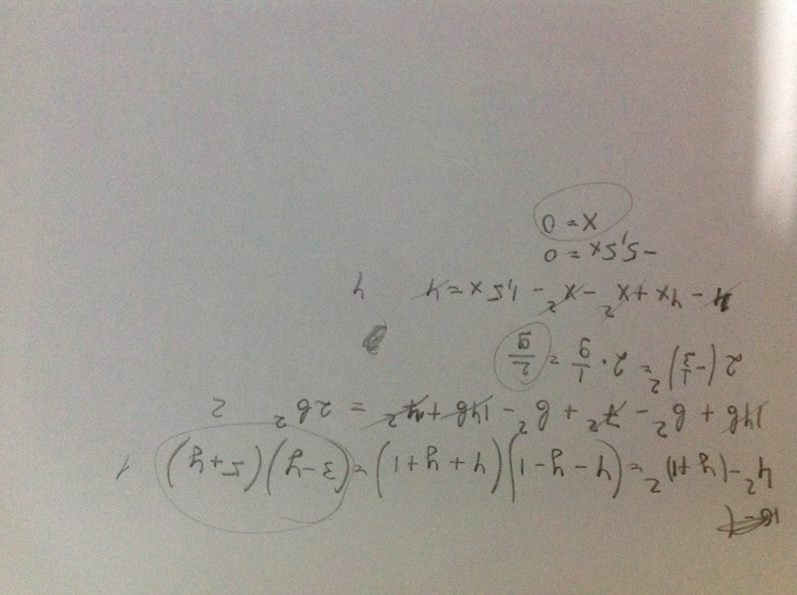
Ответы

Ответ дал: natalikyzy
0
Файл с решение прикреплён
Приложения:
Вас заинтересует