• Предмет: Алгебра
  • Автор: selena030201
  • Вопрос задан 9 лет назад

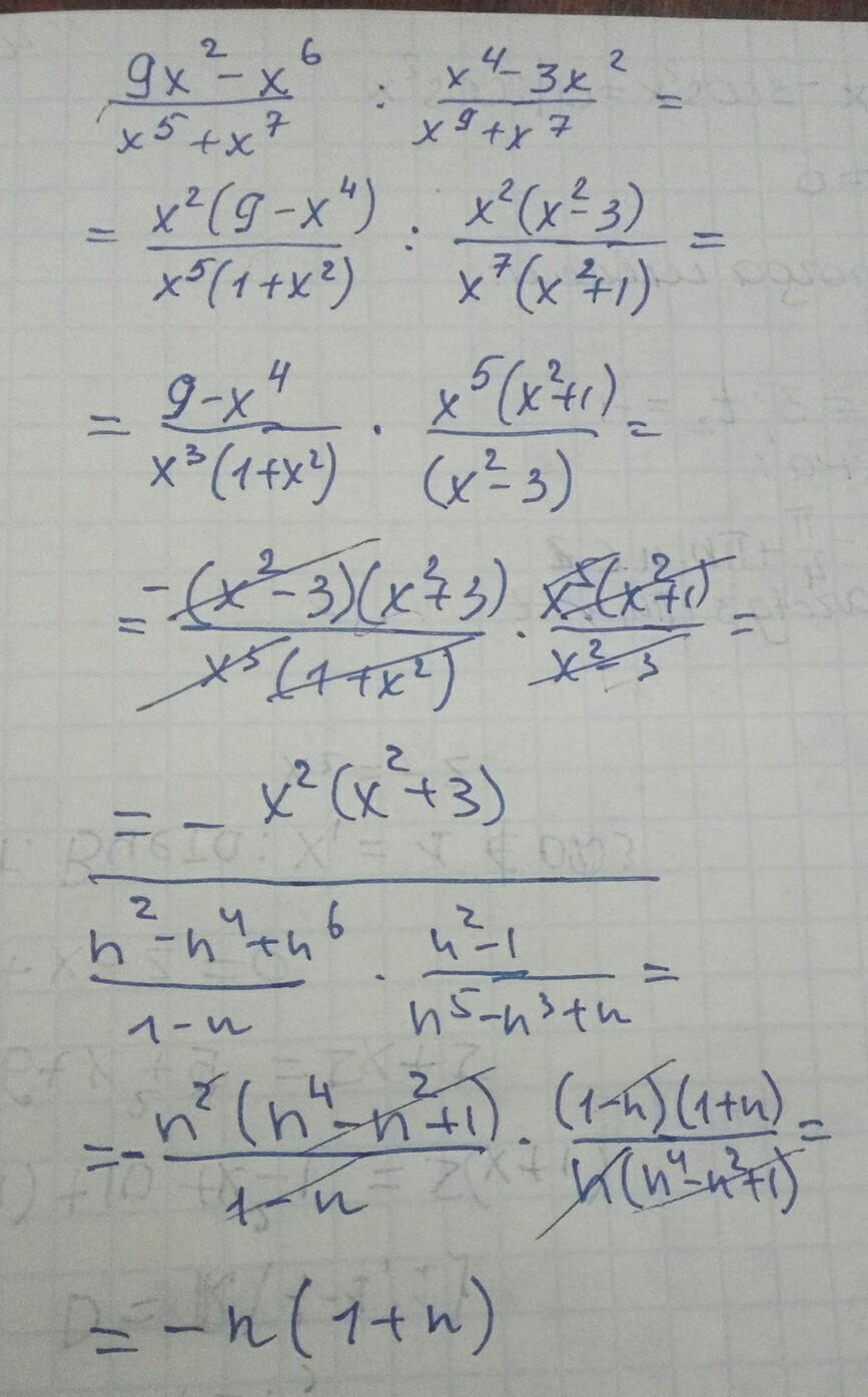
1)9x²-x^6/x^5+x^7 : x⁴-3x²/x^9+x^7
2)n²-n⁴+n^6/1-n * n²-1/n^5-n^3+n
Выносите общий множитель и сократите

Ответы

Ответ дал: Аноним
0
Решение смотрите в приложении
Приложения:
Вас заинтересует