• Предмет: Алгебра
  • Автор: almint
  • Вопрос задан 9 лет назад

Решите любые 2 номера отсюда

Приложения:

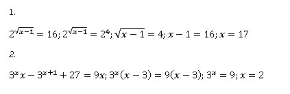
Ответы

Ответ дал: vladko1406
0
_________________________________
Приложения:
Ответ дал: Дженна11
0
.......................
Приложения:
Вас заинтересует