• Предмет: Алгебра
  • Автор: berezanskayaa
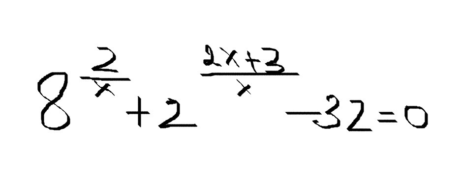
  • Вопрос задан 9 лет назад

заранее благодарю за решение

Приложения:

Ответы

Ответ дал: SVETA1951TIT
0
Фото........................
Приложения:
Вас заинтересует