• Предмет: Математика
  • Автор: Dddhdhd
  • Вопрос задан 9 лет назад

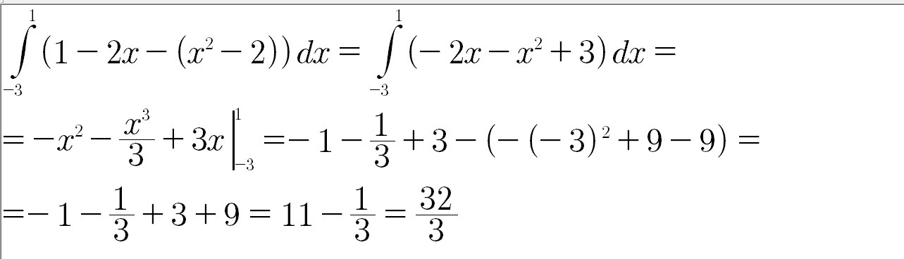
Найти площадь фигуры ограниченной линиями y=x^2-2, y=1-2x

Ответы

Ответ дал: ShirokovP
0
см фото + решение
================================
Приложения:
Вас заинтересует