Ответы
Ответ дал:
0
теорема Виета
если уравнение имеет вид
х² + px + q = 0, то
х1 + х2 = -p
x1 * x 2 = q
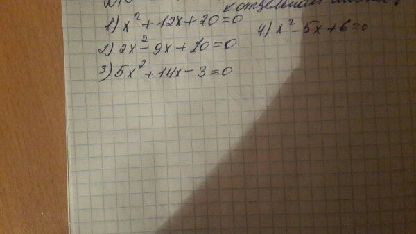
1) х²+12х+20 = 0
х 1 + х 2 = -12
х1*х2 = 20
подходят числа -10 и -2
Ответ: -10; -2
2) 2х²-9х+10=0
х²-4,5х+5=0
х1+х2=4,5
х1*х2 = 5
Ответ: 2 и 5/2
3) 5х²+14х-3=0
х²+2,8х-0,6 = 0
х1+х2=-2,8
х1*х2=-0,6
Ответ: -3 и 1/5
4) х²-5х+6=0
х1+х2 = 5
х1*х2=6
Ответ: 3 и 2
если уравнение имеет вид
х² + px + q = 0, то
х1 + х2 = -p
x1 * x 2 = q
1) х²+12х+20 = 0
х 1 + х 2 = -12
х1*х2 = 20
подходят числа -10 и -2
Ответ: -10; -2
2) 2х²-9х+10=0
х²-4,5х+5=0
х1+х2=4,5
х1*х2 = 5
Ответ: 2 и 5/2
3) 5х²+14х-3=0
х²+2,8х-0,6 = 0
х1+х2=-2,8
х1*х2=-0,6
Ответ: -3 и 1/5
4) х²-5х+6=0
х1+х2 = 5
х1*х2=6
Ответ: 3 и 2
Вас заинтересует
3 года назад
3 года назад
7 лет назад
7 лет назад
10 лет назад
10 лет назад
10 лет назад
10 лет назад