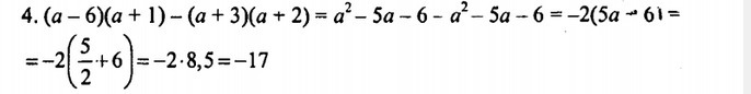
Почему тут такое решение? Разве не такое:
(a-6)(a+1)-(a+3)(a+2) = (a2+a-6a-6)-(a2+2a+3a+6) = a2+a-6a-6-a2-2a-3a-6 = -5a-2a-3a-6-6 = = -10a-12 ?
Приложения:

Ответа на этот вопрос пока нет. Попробуйте найти его через форму поиска.
Вас заинтересует
2 года назад
7 лет назад
9 лет назад
10 лет назад