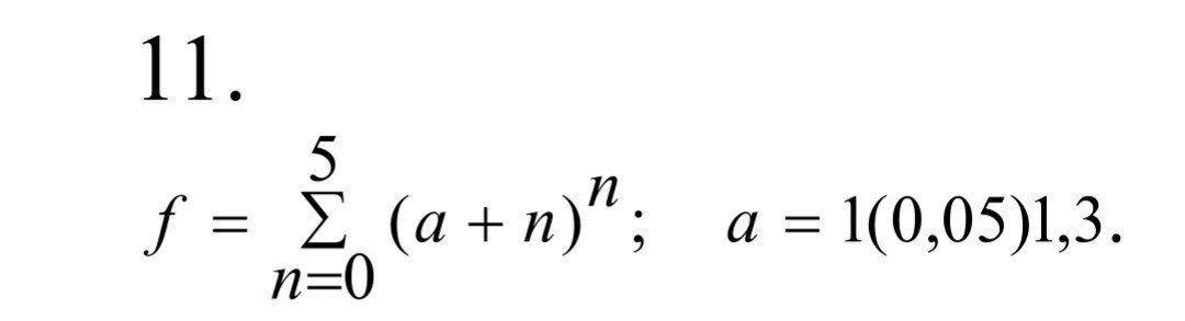
ПОМОГИТЕ С ПАСКАЛЕМ, СПАСИТЕ. НУЖНО НАПИСАТЬ ПРОГРАММУ.. очень прошу помогите написать. задание на картинке
Приложения:
Ответа на этот вопрос пока нет. Попробуйте найти его через форму поиска.
Вас заинтересует
2 года назад
2 года назад
7 лет назад
10 лет назад
10 лет назад
10 лет назад