• Предмет: Алгебра
  • Автор: polyakovazhenya
  • Вопрос задан 9 лет назад

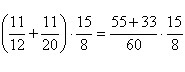
Ребята,скажите как тут получился знаменатель 60?

Приложения:

Ответы

Ответ дал: veraar2601
0
60 делится и на 12 и на 20, значит может быть общий знаменатель 60
Вас заинтересует