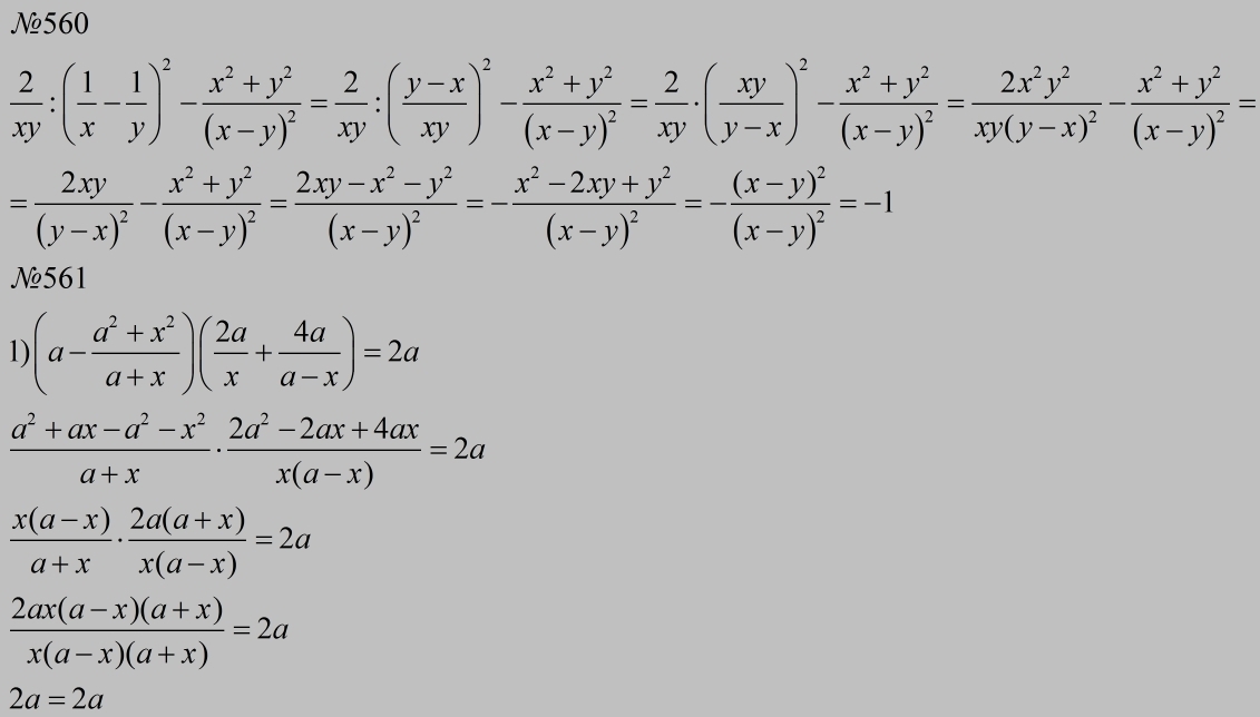
Ответы
Ответ дал:
0
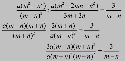
На втором скрине увы небольшой непорядок, какая-то ошибка в переносе по нажатию "энтер", но это пишется сразу после того, как переписали условие 561.2, а в конце : еще одна строчка, где мы показываем, что дробь справа равна дроби слева: 3/(m-n)=3/(m-n)
Увы я не смог показать само сокращение.
Увы я не смог показать само сокращение.
Приложения:


Вас заинтересует
2 года назад
2 года назад
7 лет назад
9 лет назад
9 лет назад
10 лет назад