Ответы
Ответ дал:
0
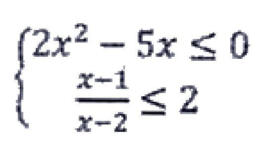
рассмотрим первое неравенство и вынесем x:
x(2x-5)<=0
x=0 и x=2,5
она отрицательной будет в промежутке [0;2,5] и включительна, так как имеется знак равно. теперь второй:
(x-1)/(x-2)-2<=0
общий знаменатель x-2:
(x-1-2x+4)/(x-2)<=0
(-x+3)/(x-2)<=0
x=3 и x=2
она будет отрицательна в промежутке от (-&;2) и[3:+&)
теперь найдём их пересечение:
пересечение их на интнрвале [0;2), значит наибольшим целым решением неравенства - это единица.
Ответ: {1}
x(2x-5)<=0
x=0 и x=2,5
она отрицательной будет в промежутке [0;2,5] и включительна, так как имеется знак равно. теперь второй:
(x-1)/(x-2)-2<=0
общий знаменатель x-2:
(x-1-2x+4)/(x-2)<=0
(-x+3)/(x-2)<=0
x=3 и x=2
она будет отрицательна в промежутке от (-&;2) и[3:+&)
теперь найдём их пересечение:
пересечение их на интнрвале [0;2), значит наибольшим целым решением неравенства - это единица.
Ответ: {1}
Ответ дал:
0
после того как получилась дробь (-x+3)/(x-2)<=0, откуда появляется х=2?
Ответ дал:
0
x-2=0 и поэтому x=2
Ответ дал:
0
а откуда это вообще х-2=0 взялось?
Вас заинтересует
2 года назад
7 лет назад
7 лет назад
10 лет назад
10 лет назад