• Предмет: Математика
  • Автор: alina1295
  • Вопрос задан 11 лет назад

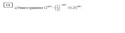
помогите решить  пожалуйста

Приложения:

Ответы

Ответ дал: ChrisV3
0

12^cosx-3^cosx*4^-sinx=0

12^cosx(1-4^-sinx/4^cosx)=0

12^cosx=0

нет решения

1-4^-sinx-cosx=0

4^-sinx-cosx=4^0

-sinx-cosx=0 / : cosx

-tgx-1=0

tgx=-1

x=-pi/4+pin

Ответ: -pi/4+pin

Ответ дал: Аноним
0

решение смотри во вложении

Вас заинтересует