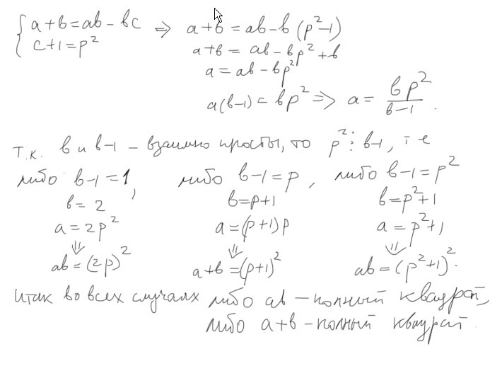
Известно, что натуральные числа a, b, c удовлетворяют соотношению a +b = ab − bc, а c + 1 – квадрат простого числа. Докажите, что хотя бы одно из чисел a + b или ab является квадратом натурального числа.
Ответы
Ответ дал:
0
Решение прицеплено в картинке.
Приложения:

Вас заинтересует
2 года назад
2 года назад
7 лет назад
7 лет назад
9 лет назад
10 лет назад