помогите решить задание по алгебре за седьмой класс для моей младшей сестры.
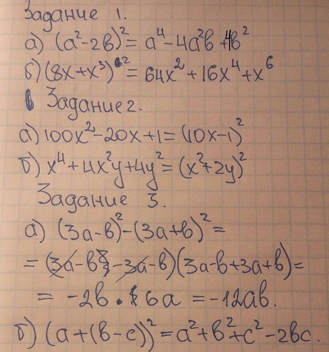
задание 1.
а) (а² - 2в)²
б) (8х + х³)²
задание 2.
а) 100х² + 1 - 20х
б) х⁴ + 4у² + 4х²у
задание 3.
а) (3а - в)² - (3а + в)²
б) (а + (в - с))²
Ответы
Ответ дал:
0
Решение смотрите в приложении
Приложения:

Ответ дал:
0
сейчас поправлю
Вас заинтересует
2 года назад
2 года назад
7 лет назад
7 лет назад
9 лет назад
10 лет назад