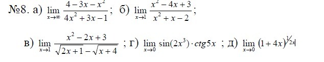
Найти указанные пределы, не пользуясь правилом Лопиталя: нужно подробное решение,пожалуйста
Приложения:

Ответы
Ответ дал:
0
Решение смотрите в приложении
Приложения:

Ответ дал:
0
Спасибо большое)
Вас заинтересует
2 года назад
7 лет назад
9 лет назад
9 лет назад
10 лет назад