• Предмет: Математика
  • Автор: multikfruktik
  • Вопрос задан 9 лет назад

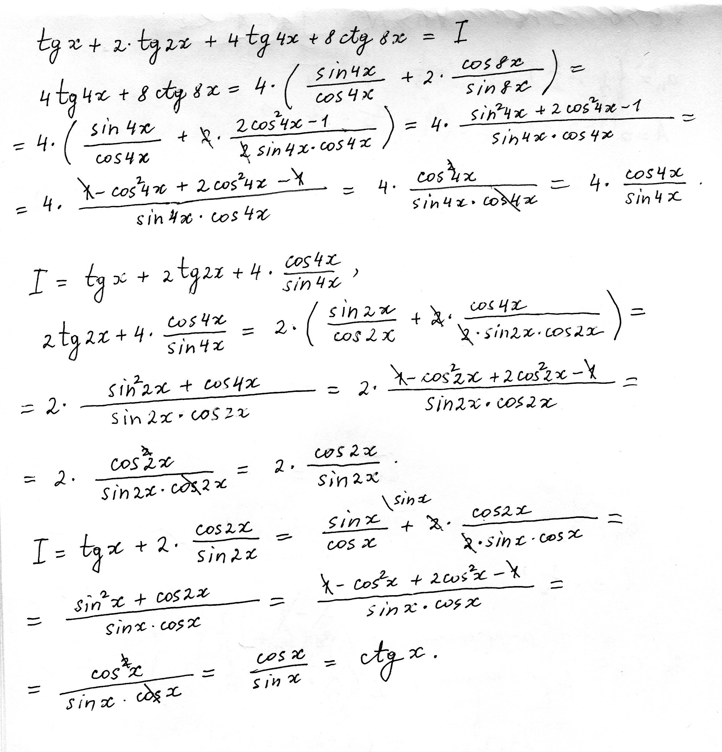
Упростить выражение: tan(x)+2*tan(2x)+4*tan(4x)+8*сtan(8x)

Ответы

Ответ дал: Аноним
0
Я прикрепил листок с решением ниже...
Приложения:
Ответ дал: multikfruktik
0
спасибо большое)
Вас заинтересует