• Предмет: Алгебра
  • Автор: 5Аленка554536
  • Вопрос задан 9 лет назад

Найдтите значение вырадения:

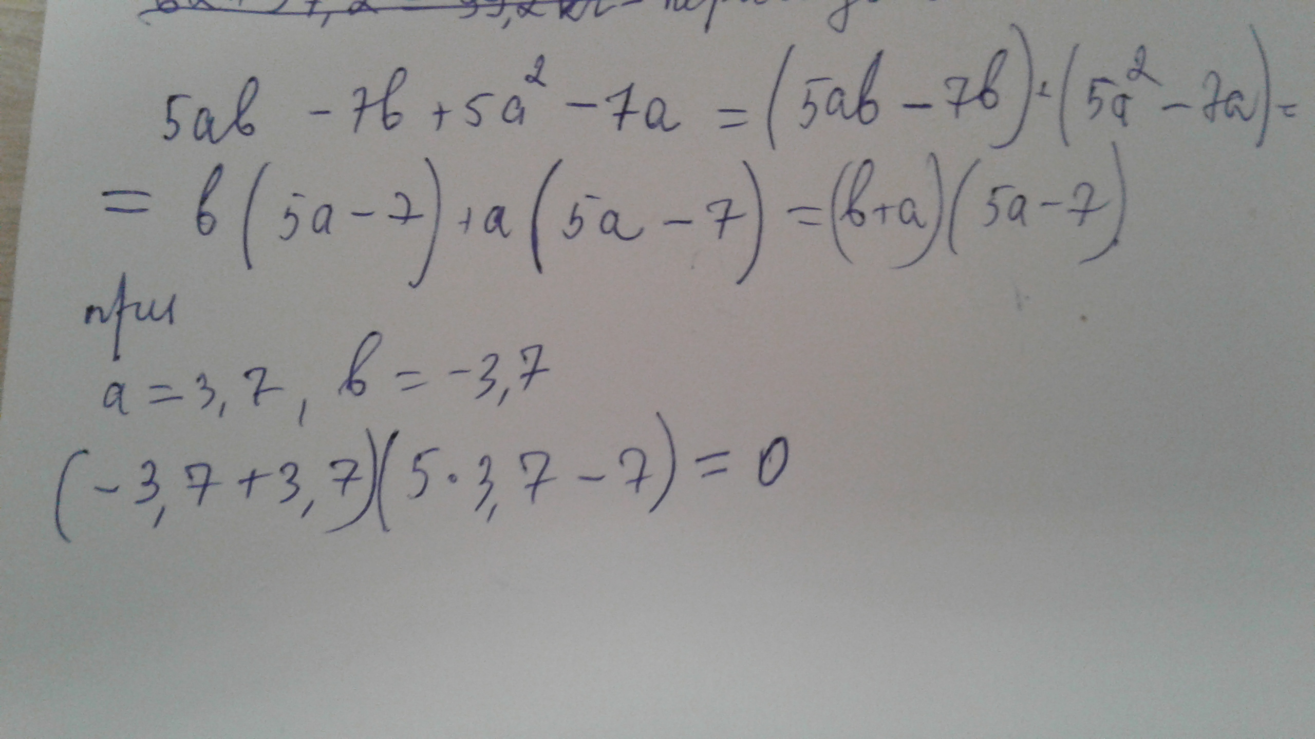
5аb-7b+5a^2-7а,если а=3,7 b=-3,7

Помоигте пожалуйста

Ответы

Ответ дал: patii1
0
jzjjdkkzkxkxkdkdkkdldk
Приложения:
Вас заинтересует