• Предмет: Алгебра
  • Автор: rateva81
  • Вопрос задан 9 лет назад

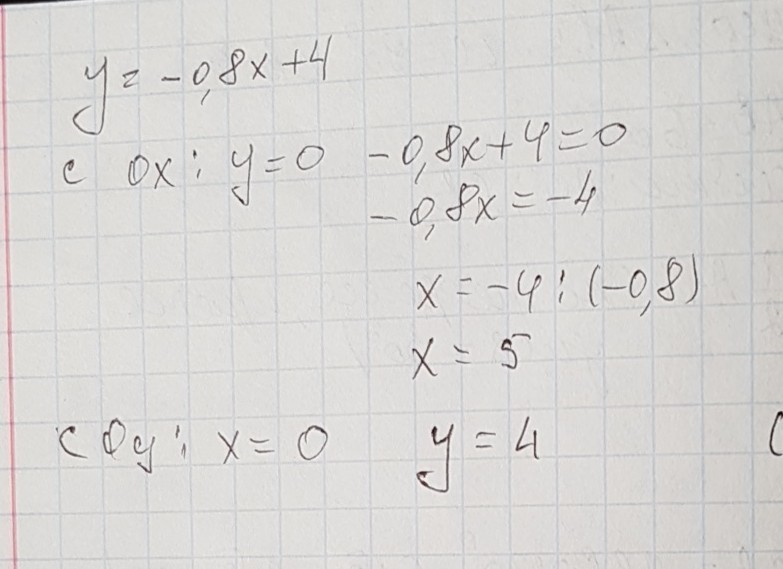
не выполняя построения найдите координаты точек пересечения графика функции у=-0,8x+4 с осями координат
пожалуйста нужно срочно а то контрольная

Ответы

Ответ дал: подкожного
0
решение задания смотри на фотографии
Приложения:
Вас заинтересует