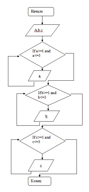
Составить блок-схему и написать программу для следующей задачи: даны 3 действительных числа. Выбрать те из них, которые принадлежат отрезку [1,3] .
Ответы
Ответ дал:
0
uses crt;
var a,b,c:real;
begin
clrscr;
write('a=');read(a);
write('b=');read(b);
write('c=');read(c);
write('pinadlejat:');
if (a>=1) and (a<=3) then write(a);
if (b>=1) and (b<=3) then write(b);
if (c>=1) and (c<=3) then write(c);
end.
---
{без массива, ручной ввод}
Приложения:

Вас заинтересует
2 года назад
8 лет назад
8 лет назад
10 лет назад
10 лет назад