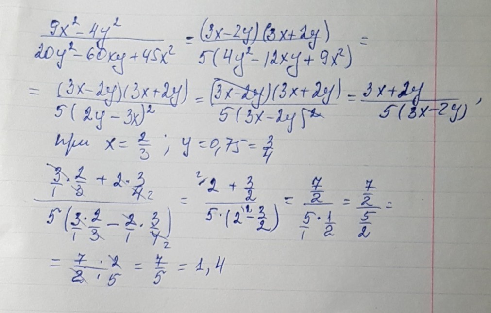
Ребят, помогите сократить дробь:
9х^2-4у^2
_______________
20у^2-60ху+45х^2
И найти её значение при х = 2/3, у = 0,75
Ответы
Ответ дал:
0
решение задания смотри на фотографии
Приложения:
Вас заинтересует
2 года назад
2 года назад
7 лет назад
7 лет назад
10 лет назад
10 лет назад
10 лет назад
10 лет назад