Ответы
Ответ дал:
0
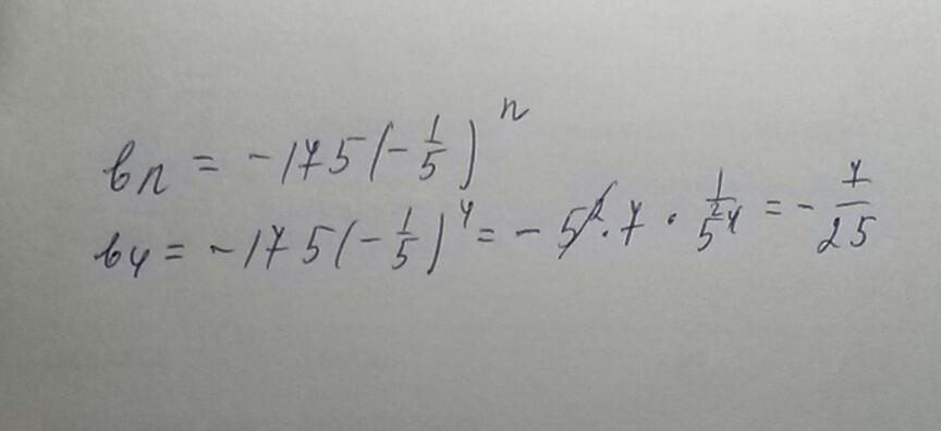
решение задания на фото
Приложения:

Ответ дал:
0
Спасибо!
Вас заинтересует
2 года назад
2 года назад
7 лет назад
7 лет назад
9 лет назад