• Предмет: Математика
  • Автор: olgakonovalova2
  • Вопрос задан 9 лет назад

Решите пожалуйста.У меня совсем не получается
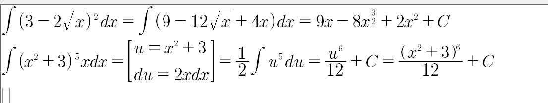
интеграл(3-2√x)^2dx;
интеграл(x^2+3)^5xdx.

Ответы

Ответ дал: ShirokovP
0
СМ ФОТО
========================
Приложения:
Ответ дал: ShirokovP
0
что неправильно?
Вас заинтересует